您的位置:对照品 > 标准品 > TRC > |
|
|
|
| 产品基本信息 |
|
| 产品编号:D480452 |
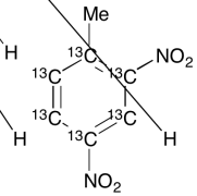
| 产品名称:2,4-Dinitrotoluene-13C6 |
| 产品CAS: |
| 规格含量:5mg |
| 产品价格:面议 |
| 联系我们: |
|
|
|
|
|
| 产品详细介绍 |
| 标准品编号: |
D480452 |
| 名称: |
2,4-Dinitrotoluene-13C6 |
| 别名: |
1-Methyl-2,4-dinitrobenzene-13C6; 1-Methyl-2,4-dinitrobenzene-13C6; 2,4-DNT-13C6; 4-Methyl-1,3-dinitrobenzene-13C6; 6-Methyl-1,3-dinitrobenzene-13C6; NSC 7194-13C6; |
| 参考CAS号: |
未标记:121-14-2 |
| 分子式: |
C¹³C₆H₆N₂O₄ |
| 外观: |
白色至白色固体 |
| 熔点: |
67-70°C |
| 分子量: |
188.09 |
| 储存: |
冰箱保存 |
| 溶解性: |
Chloroform (Slightly), Methanol (Slightly) |
| 种类: |
Standards; Isotopic Labeled Analogues; |
| 应用: |
2,4-Dinitrotoluene-13C6 is an isotope labelled metabolite of TNT (2,4,6-trinitrotoluene). |
| 危险品: |
Not a dangerous good if item is equal to or less than 1g/ml and there is less than 100g/ml in the package |
| 参考文献 |
|
|
|
|
|
|