欢迎光临:莱耀标准品网!
 您的位置:对照品 > 标准品 > TRC >
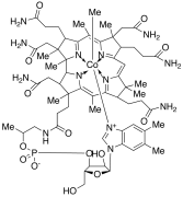
Mecobalamin
产品基本信息
产品编号:M202800
产品名称:Mecobalamin
产品CAS:13422-55-4
规格含量:250mg
产品价格:面议
联系我们:
产品详细介绍
标准品编号: M202800
名称: Mecobalamin
别名: Methyl-5,6-dimethylbenzimidazolylcobalamin; Methyl Vitamin B12; MeCbl; Algobaz; Hitocobamin-M; Methycobal; Methylcobaz;
CAS号: 13422-55-4
分子式: C₆₃H₉₁CoN₁₃O₁₄P
外观: Very Dark Red Solid
分子量: 1344.38
储存: Amber Vial, -20°C Freezer, Under Inert Atmosphere
溶解度: Methanol (Very Slightly, Heated), Water (Slightly)
种类: Standards; Pharmaceutical/API Drug Impurities/Metabolites; Vitamin Derivatives;
应用: One of the biologically active forms of vitamin B12; differing only by the substitution of a methyl for the cyano group. Coenzyme required in the biosynthesis of methionine. Vitamin (hematopoietic).
参考文献


2011-2018 信阳莱耀生物科技有限公司 @ 信阳埃尔文生物科技有限公司版权所有

中检所标准品,对照品,标准气体
Keywords: 中检所标准品 对照品 标准气体