欢迎光临:莱耀标准品网!
 您的位置:对照品 > 标准品 > TRC >
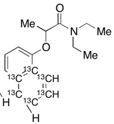
Napropamid-13C6
产品基本信息
产品编号:N378702
产品名称:Napropamid-13C6
产品CAS:
规格含量:10mg
产品价格:面议
联系我们:
产品详细介绍
标准品编号: N378702
名称: Napropamid-13C6
别名: N,N-Diethyl-2-(1-naphthalenyloxy)propanamide-13C6; (±)-Devrinol-13C6; 2-(α-Naphthoxy)-N,N-diethylpropionamide-13C6; Devrinol-13C6; N,N-Diethyl-2-(1-naphthyloxy)propanamide-13C6; Napropamide-13C6; R 7465-13C6; Racemic Devrinol-13C6
参考CAS号: 15299-99-7 Unlabelled
分子式: C₁₁¹³C₆H₂₁NO₂
分子量: 277.31
种类: Building Blocks; Isotopic Labeled Analogues;
应用: Napropamid-13C6 is labelled Napropamid (N378700) which is used as a pesticide.
参考文献


2011-2018 信阳莱耀生物科技有限公司 @ 信阳埃尔文生物科技有限公司版权所有

中检所标准品,对照品,标准气体
Keywords: 中检所标准品 对照品 标准气体