欢迎光临:莱耀标准品网!
 您的位置:对照品 > 标准品 > 美国药典 >
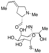
(2S)-4'-Depropyl-4'-propylidenelincomycin (Mixture of Diastereomers)
产品基本信息
产品编号:D281915
产品名称:(2S)-4'-Depropyl-4'-propylidenelincomycin (Mixture of Diastereomers)
产品CAS:37744-65-3
规格含量:5mg
产品价格:面议
联系我们:
产品详细介绍
标准品编号: D281915
名称: (2S)-4'-Depropyl-4'-propylidenelincomycin (Mixture of Diastereomers)
别名: Lincomycin EP Impurity B, Methyl 6,8-Dideoxy-6-[[[(2S)-1-methyl-4-propylidene-2-pyrrolidinyl]carbonyl]amino]-1-thio-D-erythro-α-D-galacto-octopyranoside; Methyl (2S)-6,8-Dideoxy-6-[[(1-methyl-4-propylidene-2-pyrrolidinyl)carbonyl]amino]-1-thio-D-erythro-α-D-galacto-octopyranoside; (S)-N-((1R,2R)-2-Hydroxy-1-((2R,3R,4S,5R,6R)-3,4,5-trihydroxy-6-(methylthio)tetrahydro-2H-pyran-2-yl)propyl)-1-methyl-4-propylidenepyrrolidine-2-carboxamide; 4'-Depropyl-4'-propylidenelincomycin
CAS号: 37744-65-3
分子式: C₁₈H₃₂N₂O₆S
外观: 白色固体
熔点: 89-94°C
分子量: 404.52
储存: Amber Vial, -20°C Freezer, Under inert atmosphere
溶解性: Chloroform (Slightly), Methanol (Slightly)
种类: Standards; Chiral Molecules; Pharmaceutical/API Drug Impurities/Metabolites; Carbohydrates and Oligosaccharides;
应用: (2S)-4'-Depropyl-4'-propylidenelincomycin is an impurity of Lincomycin (L466200), an antibiotic produced by Streptomyces lincolnensis. Lincomycin is a lincosamide antibiotic that forms cross-links within the peptidyl transferase loop region of the 23S rRNA. Inhibits bacterial protein synthesis. Antibacterial.
参考文献


2011-2018 信阳莱耀生物科技有限公司 @ 信阳埃尔文生物科技有限公司版权所有

中检所标准品,对照品,标准气体
Keywords: 中检所标准品 对照品 标准气体