欢迎光临:莱耀标准品网!
 您的位置:对照品 > 标准品 > 美国药典 >
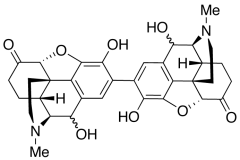
10,10’-Dihydroxypesudohydromorphone
产品基本信息
产品编号:D454400
产品名称:10,10’-Dihydroxypesudohydromorphone
产品CAS:
规格含量:10mg
产品价格:面议
联系我们:
产品详细介绍
标准品编号: D454400
名称: 10,10’-Dihydroxypesudohydromorphone
分子式: C₃₄H₃₆N₂O₈
分子量: 600.66
种类: Standards; Pharmaceutical/API Drug Impurities/Metabolites;
应用: 10,10’-Dihydroxypesudohydromorphone is the dimerized impurity of Hydromorphone (H714650), an analgesic agent prepared from the electrolytic reduction of Morphine (M652290).
参考文献


2011-2018 信阳莱耀生物科技有限公司 @ 信阳埃尔文生物科技有限公司版权所有

中检所标准品,对照品,标准气体
Keywords: 中检所标准品 对照品 标准气体