欢迎光临:莱耀标准品网!
 您的位置:对照品 > 标准品 > 美国药典 >
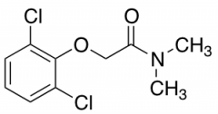
2-(2,6-Dichlorophenoxy)-N,N-dimethylacetamide
产品基本信息
产品编号:D483950
产品名称:2-(2,6-Dichlorophenoxy)-N,N-dimethylacetamide
产品CAS:1623649-15-9
规格含量:50mg
产品价格:面议
联系我们:
产品详细介绍
标准品编号: D483950
名称: 2-(2,6-Dichlorophenoxy)-N,N-dimethylacetamide
CAS号: 1623649-15-9
分子式: C₁₀H₁₁NO₂Cl₂
分子量: 248.1
种类: Building Blocks; Miscellaneous;
应用: 2-(2,6-dichlorophenoxy)-N,N-dimethylacetamide (cas# 1623649-15-9) is a useful research chemical.
参考文献


2011-2018 信阳莱耀生物科技有限公司 @ 信阳埃尔文生物科技有限公司版权所有

中检所标准品,对照品,标准气体
Keywords: 中检所标准品 对照品 标准气体