欢迎光临:莱耀标准品网!
 您的位置:对照品 > 标准品 > 美国药典 >
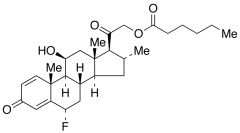
Fluocortolone 21-Hexanoate
产品基本信息
产品编号:F500510
产品名称:Fluocortolone 21-Hexanoate
产品CAS:303-40-2
规格含量:25mg
产品价格:面议
联系我们:
产品详细介绍
标准品编号: F500510
名称: Fluocortolone 21-Hexanoate
别名: (6α,11β,16α)-6-Fluoro-11-hydroxy-16-methyl-21-[(1-oxohexyl)oxy]pregna-1,4-diene- 3,20-dione; 6α-Fluoro-11β,21-dihydroxy-16α-methylpregna-1,4-diene-3,20-dione 21-Hexanoate; Ficoid; Fluocortolone Caproate; Fluocortolone Hexanoate; Fluorocortolone 21-Caproate; SH 770;
CAS号: 303-40-2
分子式: C₂₈H₃₉FO₅
分子量: 474.6
种类: Standards; Pharmaceutical/API Drug Impurities/Metabolites; Steroids;
应用: Glucocorticoid.
参考文献


2011-2018 信阳莱耀生物科技有限公司 @ 信阳埃尔文生物科技有限公司版权所有

中检所标准品,对照品,标准气体
Keywords: 中检所标准品 对照品 标准气体