您的位置:对照品 > 对照品 > 国家对照品 > |
|
|
|
| 产品基本信息 |
|
| 产品编号:D449280 |
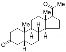
| 产品名称:5β-Dihydro Progesterone |
| 产品CAS:128-23-4 |
| 规格含量:100mg |
| 产品价格:面议 |
| 联系我们: |
|
|
|
|
|
| 产品详细介绍 |
| 标准品编号: |
D449280 |
| 名称: |
5β-Dihydro Progesterone |
| 别名: |
5β-Pregnane-3,20-dione; 5β-Pregnan-3,20-dione; NSC 82868; U 2411; |
| CAS号: |
128-23-4 |
| 分子式: |
C₂₁H₃₂O₂ |
| 外观: |
白色至白色固体 |
| 熔点: |
118 - 121ºC |
| 分子量: |
316.48 |
| 储存: |
冰箱保存 |
| 溶解性: |
Chloroform (Slightly), Ethyl Acetate (Slightly), Methanol (Slightly) |
| 种类: |
Standards; Steroids; Pharmaceutical/API Drug Impurities/Metabolites; |
| 应用: |
A metabolite of the neuroactive steroid Progesterone (PROG) (P755900). |
| 参考文献 |
|
|
|
|
|
|
|
|