欢迎光临:莱耀标准品网!
 您的位置:对照品 > 对照品 > 国家对照品 >
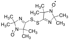
4,4'-Dithiobis[2,5-dihydro-2,2,5,5-tetramethyl-1H-imidazol-1-yloxy] Bis Radical
产品基本信息
产品编号:D480090
产品名称:4,4'-Dithiobis[2,5-dihydro-2,2,5,5-tetramethyl-1H-imidazol-1-yloxy] Bis Radical
产品CAS:123557-49-3
规格含量:10mg
产品价格:面议
联系我们:
产品详细介绍
标准品编号: D480090
名称: 4,4'-Dithiobis[2,5-dihydro-2,2,5,5-tetramethyl-1H-imidazol-1-yloxy] Bis Radical
CAS号: 123557-49-3
分子式: C₁₄H₂₄N₄O₂S₂
分子量: 344.5
种类: Research Tools;
应用: 4,4'-Dithiobis[2,5-dihydro-2,2,5,5-tetramethyl-1H-imidazol-1-yloxy] Bis Radical is used as a labelling agent in the quantitative determination and reversible modification of thiols in biological systems.
参考文献


2011-2018 信阳莱耀生物科技有限公司 @ 信阳埃尔文生物科技有限公司版权所有

中检所标准品,对照品,标准气体
Keywords: 中检所标准品 对照品 标准气体