欢迎光临:莱耀标准品网!
 您的位置:对照品 > 对照品 > 国家对照品 >
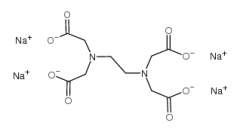
Ethylenediaminetetraacetic Acid Tetrasodium Salt
产品基本信息
产品编号:E918255
产品名称:Ethylenediaminetetraacetic Acid Tetrasodium Salt
产品CAS:13235-36-4
规格含量:250g
产品价格:面议
联系我们:
产品详细介绍
标准品编号: E918255
名称: Ethylenediaminetetraacetic Acid Tetrasodium Salt
别名: Ethylenediamine-N,N,N',N'-tetraacetic Acid Tetrasodium Salt, Tetrahydrate; N,N'-1,2-Ethanediylbis[N-(carboxymethyl)-glycine Tetrasodium Salt, Tetrahydrate
CAS号: 13235-36-4
参考CAS: Free acid: 60-00-4; Anhydrous salt: 64-02-8
分子式: C₁₀H₁₆N₂O₈ • 4Na • 4H ₂O
分子量: 292.2442299
种类: Building Blocks; Miscellaneous;
应用: Ethylenediaminetetraacetic Acid Tetrasodium Salt is a chelator used to eliminate inhibition of enzyme catalyzed reactions. It can be used as reactant/reagent for green preparation of O-allylhydroxylamines via organocatalytic oxidation of tertiary allylic amines followed by a [2,3]-Meisenheimer rearrangement.
参考文献


2011-2018 信阳莱耀生物科技有限公司 @ 信阳埃尔文生物科技有限公司版权所有

中检所标准品,对照品,标准气体
Keywords: 中检所标准品 对照品 标准气体