欢迎光临:莱耀标准品网!
 您的位置:对照品 > 对照品 > 国家对照品 >
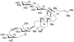
Ginsenoside Rb3
产品基本信息
产品编号:G387610
产品名称:Ginsenoside Rb3
产品CAS:68406-26-8
规格含量:10mg
产品价格:面议
联系我们:
产品详细介绍
标准品编号: G387610
名称: Ginsenoside Rb3
别名: Dammarane, β-D-glucopyranoside deriv.; Gypenoside IV; (3β,12β)-3-[(2-O-β-D-Glucopyranosyl-β-D-glucopyranosyl)oxy]-12-hydroxydammar-24-en-20-yl 6-O-β-D-xylopyranosyl-β-D-glucopyranoside; (2S,3R,4S,5S,6R)-2-(((2R,3R,4S,5S,6R)-4,5-dihydroxy-2-(((3S,5R,8R,9R,10R,12R,13R,14R,17S)-12-hydroxy-4,4,8,10,14-pentamethyl-17-((S)-6-methyl-2-(((2S,3R,4S,5S,6R)-3,4,5-trihydroxy-6-((((2S,3R,4S,5R)-3,4,5-trihydroxytetrahydro-2H-pyran-2-yl)oxy)methyl)tetrahydro-2H-pyran-2-yl)oxy)hept-5-en-2-yl)hexadecahydro-1H-cyclopenta[a]phenanthren-3-yl)oxy)-6-(hydroxymethyl)tetrahydro-2H-pyran-3-yl)oxy)-6-(hydroxymethyl)tetrahydro-2H-pyran-3,4,5-triol
CAS号: 68406-26-8
分子式: C₅₃H₉₀O₂₂
外观: 白色固体
熔点: 193-195°C
分子量: 1079.27
储存: Hygroscopic, -20°C Freezer, Under inert atmosphere
溶解度: DMSO (Slightly), Methanol (Slightly), Pyridine (Slightly)
稳定性: Hygroscopic
种类: Building Blocks; Steroids; Enzyme Activators and Inhibitors; Pharmaceutical/API Drug Impurities/Metabolites; Carbohydrates and Oligosaccharides;
应用: Ginsenoside Rb3 inhibits the upregulation of phospho-IκB-α and nuclear translocation of NF-κB subunit p65 induced by glucose deprivation then reperfusion.
参考文献


2011-2018 信阳莱耀生物科技有限公司 @ 信阳埃尔文生物科技有限公司版权所有

中检所标准品,对照品,标准气体
Keywords: 中检所标准品 对照品 标准气体