欢迎光临:莱耀标准品网!
 您的位置:对照品 > 对照品 > 国家对照品 >
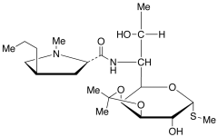
3,4-O-Isopropylidenelincomycin
产品基本信息
产品编号:I825030
产品名称:3,4-O-Isopropylidenelincomycin
产品CAS:24699-08-9
规格含量:500mg
产品价格:面议
联系我们:
产品详细介绍
标准品编号: I825030
名称: 3,4-O-Isopropylidenelincomycin
别名: trans-α-Methyl 6,8-Dideoxy-3,4-O-isopropylidene-6-(1-methyl-4-propyl-L-2-pyrrolidinecarboxamido)-1-thio-D-threo-D-galacto-octopyranoside
CAS号: 24699-08-9
分子式: C₂₁H₃₈N₂O₆S
分子量: 446.6
种类: Standards; Pharmaceutical/API Drug Impurities/Metabolites; Carbohydrates and Oligosaccharides;
应用: Lincomycin (L466200) derivative.
参考文献


2011-2018 信阳莱耀生物科技有限公司 @ 信阳埃尔文生物科技有限公司版权所有

中检所标准品,对照品,标准气体
Keywords: 中检所标准品 对照品 标准气体