欢迎光临:莱耀标准品网!
 您的位置:对照品 > 对照品 > 国家对照品 >
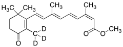
4-Keto 13-cis-Retinoic-d3 Acid Methyl Ester
产品基本信息
产品编号:K204977
产品名称:4-Keto 13-cis-Retinoic-d3 Acid Methyl Ester
产品CAS:
规格含量:2.5mg
产品价格:面议
联系我们:
产品详细介绍
标准品编号: K204977
名称: 4-Keto 13-cis-Retinoic-d3 Acid Methyl Ester
别名: 13-cis-4-Oxo-retinoic-d3 Acid Methyl Ester; Methyl 13-cis-4-Oxoretinoate-d3;
参考CAS号: 类似: 71748-57-7
分子式: C₂₁H₂₅D₃O₃
分子量: 331.46
储存: -20°C Freezer
溶解度: DMSO, Methanol
种类: Standards; Isotopic Labeled Analogues; Pharmaceutical/API Drug Impurities/Metabolites;
应用: 4-Keto 13-cis-Retinoic-d3 Acid Methyl Ester is an intermediate in synthesizing 4-Keto 13-cis-Retinoic Acid-d3 (K204972), a labelled metabolite of Retinoic acid in neuroblastoma.
参考文献


2011-2018 信阳莱耀生物科技有限公司 @ 信阳埃尔文生物科技有限公司版权所有

中检所标准品,对照品,标准气体
Keywords: 中检所标准品 对照品 标准气体