您的位置:对照品 > 对照品 > 国家对照品 >
产品基本信息
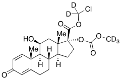
产品编号:M262232
产品名称:Methoxy Deethoxy Loteprednol Etabonate-d5
产品CAS:
规格含量:25mg
产品价格:面议
联系我们:
产品详细介绍
标准品编号:
M262232
名称:
Methoxy Deethoxy Loteprednol Etabonate-d5
别名:
(11β,17α)-17-[(Methoxycarbonyl)oxy]-11-hydroxy-3-oxo-androsta-1,4-diene-17-carboxylic acid-d5
参考CAS号:
M262230 unlabelled
分子式:
C₂₃H₂₄D₅ClO₇
分子量:
457.96
种类:
Building Blocks; Isotopic Labeled Analogues;
应用:
Methoxy Deethoxy Loteprednol Etabonate-d5 is labelled Methoxy Deethoxy Loteprednol Etabonate (M262230), a derivative of Loteprednol Etabonate (L471400) which is an ophthalmic corticosteroid.
参考文献
Alberth, M., et al.: J. Biopharm.Sci., 2, 115 (1991), Bodor, N., et al.: Pharm. Res., 9, 1275 (1992), Bartlett, J.D., et al.: J. Ocul. Pharmacol., 9, 157 (1993)