欢迎光临:莱耀标准品网!
 您的位置:对照品 > 对照品 > 国家对照品 >
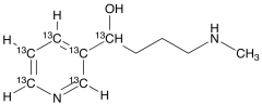
4-(Methylamino)-1-(3-pyridyl)-1-butanol-1,2’,3’,4’,5&rsq
产品基本信息
产品编号:M286992
产品名称:4-(Methylamino)-1-(3-pyridyl)-1-butanol-1,2’,3’,4’,5&rsq
产品CAS:1216991-24-0
规格含量:1mg
产品价格:面议
联系我们:
产品详细介绍
标准品编号: M286992
名称: 4-(Methylamino)-1-(3-pyridyl)-1-butanol-1,2’,3’,4’,5’,6’-13C6
别名: α-[3-(Methylamino)propyl]-3-pyridinemethanol-13C6;
CAS号: 1216991-24-0
参考CAS号: 类似: 2055-27-8
分子式: C₄¹³C₆H₁₆N₂O
外观: Pale Yellow Oil
分子量: 186.2
溶解度: Chloroform, Dichloromethane, Ethyl Acetate, Methanol
种类: Standards; Isotopic Labeled Analogues; Nicotine Derivatives and Metabolites;
应用: An amino alcohol metabolite of nicotine, and precursor to NNK.
参考文献


2011-2018 信阳莱耀生物科技有限公司 @ 信阳埃尔文生物科技有限公司版权所有

中检所标准品,对照品,标准气体
Keywords: 中检所标准品 对照品 标准气体