欢迎光临:莱耀标准品网!
 您的位置:对照品 > 对照品 > 国家对照品 >
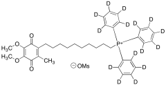
Mitoquinone-d15 Mesylate
产品基本信息
产品编号:M372217
产品名称:Mitoquinone-d15 Mesylate
产品CAS:
规格含量:2.5mg
产品价格:面议
联系我们:
产品详细介绍
标准品编号: M372217
名称: Mitoquinone-d15 Mesylate
别名: (10-(4,5-Dimethoxy-2-methyl-3,6-dioxocyclohexa-1,4-dien-1-yl)triphenylphosphonium methanesulfonate-d15; Mitoquinone Methanesulfonate-d15; [10-(4,5-Dimethoxy-2-methyl-3,6-dioxo-1,4-cyclohexadien-1-yl)decyl]triphenylphosphonium Methanesulfonate-d15;
参考CAS号: Unlabelled: 845959-50-4; Unlabelled Free Acid: 444
分子式: C₃₈H₃₂D₁₅O₇PS
分子量: 693.91
种类: Standards; Isotopic Labeled Analogues; Pharmaceutical/API Drug Impurities/Metabolites;
应用: Mitoquinone-d15 Mesylate is an isotopic analog of Mitoquinone Mesylate (M372215) which is used in the transport and metabolism of some cationic ubiquinone antioxidants.
参考文献


2011-2018 信阳莱耀生物科技有限公司 @ 信阳埃尔文生物科技有限公司版权所有

中检所标准品,对照品,标准气体
Keywords: 中检所标准品 对照品 标准气体