您的位置:对照品 > 对照品 > 国家对照品 >
产品基本信息
产品编号:M525632
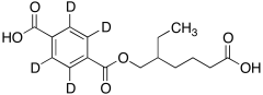
产品名称:Mono-2-ethyl-5-carboxypentyl Terephthalate-d4 (MECPTP)
产品CAS:
规格含量:10mg
产品价格:面议
联系我们:
产品详细介绍
标准品编号:
M525632
名称:
Mono-2-ethyl-5-carboxypentyl Terephthalate-d4 (MECPTP)
别名:
1,4-Benzenedicarboxylic Acid-d4 1-(5-Carboxy-2-ethylpentyl) Ester
参考CAS号:
Unlabelled: 1684398-42-2
分子式:
C₁₆H₁₆D₄O₆
分子量:
312.35
种类:
Standards; Isotopic Labeled Analogues;
应用:
Isotope labelled Mono-2-ethyl-5-carboxypentyl Terephthalate (MECPTP) is a metabolite of Diethylhexyl Terephthalate (D481850), used as a plasticizer in PVC items and childcare products.
参考文献
Lessmann, F. et al.: J. Chrom. Anal. Tech. Biomed. Life Sci., 1011, 196 (2016); Krauskopf, L. et al.: J. Vinyl. Add. Tech., 5, 107 (1999); Zoller, A et al.: J. App. Polym. Sci., 121, 3314 (2011);