您的位置:对照品 > 对照品 > 国家对照品 > |
|
|
|
| 产品基本信息 |
|
| 产品编号:M320240 |
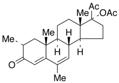
| 产品名称:(2α)-Methyl Megestrol Acetate |
| 产品CAS:907193-65-1 |
| 规格含量:10mg |
| 产品价格:面议 |
| 联系我们: |
|
|
|
|
|
| 产品详细介绍 |
| 标准品编号: |
M320240 |
| 名称: |
(2α)-Methyl Megestrol Acetate |
| 别名: |
(2α)-17-(Acetyloxy)-2,6-dimethylpregna-4,6-diene-3,20-dione; Megestrol Acetate EP Impurity H |
| 杂质: |
Megestrol Acetate EP Impurity H |
| CAS号: |
907193-65-1 |
| 分子式: |
C₂₅H₃₄O₄ |
| 外观: |
白色至淡黄色固体 |
| 熔点: |
187-192°C |
| 分子量: |
398.54 |
| 储存: |
-20°C Freezer |
| 溶解度: |
Chloroform (Slightly), Methanol (Slightly) |
| 种类: |
Standards; Steroids; Pharmaceutical/API Drug Impurities/Metabolites; |
| 应用: |
(2α)-Methyl Megestrol Acetate (Megestrol Acetate EP Impurity H) is a related impurity in Megestrol acetate (M208050). |
| 参考文献 |
|
|
|
|
|
|
|
|