欢迎光临:莱耀标准品网!
 您的位置:对照品 > 对照品 > 工作对照品 >
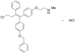
N-Desmethyl 4-Benzyloxy Toremifene Hydrochloride
产品基本信息
产品编号:D291080
产品名称:N-Desmethyl 4-Benzyloxy Toremifene Hydrochloride
产品CAS:176671-80-0
规格含量:10 mg
产品价格:面议
联系我们:
产品详细介绍
标准品编号: D291080
名称: N-Desmethyl 4-Benzyloxy Toremifene Hydrochloride
别名: 2-[4-[4-Chloro-2-phenyl-1-[4-(phenylmethoxy)phenyl]-1-butenyl]phenoxy]-N-methyl-ethanamine Hydrochloride
CAS号: 176671-80-0
参考CAS号: Free Base: 741652-83-5
分子式: C₃₂H₃₃Cl₂NO₂
外观: Pale Yellow to Pale Beige Solid
熔点: >186°C (dec.)
分子量: 534.52
储存: Amber Vial, 冰箱保存, Under inert atmosphere
溶解性: Chloroform (Slightly), Methanol (Slightly)
种类: Standards; Enzyme Activators and Inhibitors; Pharmaceutical/API Drug Impurities/Metabolites;
应用: Toremifene (T547500) derivative. A triphenylalkene derivative with anti-estrogenic, and anti-tumor properties.
危险品: Not a dangerous good if item is equal to or less than 1g/ml and there is less than 100g/ml in the package
参考文献


2011-2018 信阳莱耀生物科技有限公司 @ 信阳埃尔文生物科技有限公司版权所有

中检所标准品,对照品,标准气体
Keywords: 中检所标准品 对照品 标准气体