欢迎光临:莱耀标准品网!
 您的位置:对照品 > 对照品 > 工作对照品 >
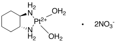
Diaquo[(1R,2R)-1,2-cyclohexanediamine]platinum Dinitrate
产品基本信息
产品编号:D416760
产品名称:Diaquo[(1R,2R)-1,2-cyclohexanediamine]platinum Dinitrate
产品CAS:94042-08-7
规格含量:100mg
产品价格:面议
联系我们:
产品详细介绍
标准品编号: D416760
名称: Diaquo[(1R,2R)-1,2-cyclohexanediamine]platinum Dinitrate
别名: (SP-4-2)-Diaqua[(1R,2R)-1,2-cyclohexanediamine-κN,κN']platinum(2+) Dinitrate; [SP-4-2-(1R-trans)]-Diaqua(1,2-cyclohexanediamine-N,N')platinum(2+) Dinitrate; Diaquo[trans-(-)-1,2-cyclohexanediamine]platinum(II) Dinitrate;
CAS号: 94042-08-7
分子式: C₆H₁₈N₄O₈Pt
外观: 白色至Beige Solid
熔点: >160°C (dec.)
分子量: 469.31
储存: Hygroscopic, 冰箱保存, Under Inert Atmosphere
溶解性: Methanol (Very Slightly. Heated), Water (Very Slightly. Heated)
种类: Standards; Pharmaceutical/API Drug Impurities/Metabolites;
应用: Oxaliplatin (O845075) intermediate as anti-cancer therapeutic agent and dual therapeutic/imaging contrast agent.
参考文献


2011-2018 信阳莱耀生物科技有限公司 @ 信阳埃尔文生物科技有限公司版权所有

中检所标准品,对照品,标准气体
Keywords: 中检所标准品 对照品 标准气体