欢迎光临:莱耀标准品网!
 您的位置:对照品 > 对照品 > 工作对照品 >
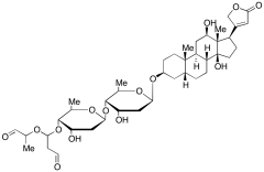
Digoxigenin Bisdigitoxoside 1-(1-Methyl-2-oxoethoxy)-3-oxopropyl) Ether
产品基本信息
产品编号:D446910
产品名称:Digoxigenin Bisdigitoxoside 1-(1-Methyl-2-oxoethoxy)-3-oxopropyl) Ether
产品CAS:58994-85-7
规格含量:100mg
产品价格:面议
联系我们:
产品详细介绍
标准品编号: D446910
名称: Digoxigenin Bisdigitoxoside 1-(1-Methyl-2-oxoethoxy)-3-oxopropyl) Ether
别名: (3β,5β,12β)-3-[[2,6-Dideoxy-4-O-[2,6-dideoxy-4-O-[[R-(R*,R*)]-1-(1-methyl-2-oxoethoxy)-3-oxopropyl]-β-D-ribo-hexopyranosyl]-β-D-ribo-hexopyranosyl]oxy]-12,14-dihydroxycard-20(22)-enolide
CAS号: 58994-85-7
分子式: C₄₁H₆₂O₁₄
外观: Orange Solid
分子量: 778.92
溶解性: Chloroform, DCM
种类: Standards; Steroids; Pharmaceutical/API Drug Impurities/Metabolites;
应用: Digoxigenin Bisdigitoxoside 1-(1-Methyl-2-oxoethoxy)-3-oxopropyl) Ether is an intermediate in the synthesis of Digoxigenin Bisdigitoxoside (D446500).
参考文献


2011-2018 信阳莱耀生物科技有限公司 @ 信阳埃尔文生物科技有限公司版权所有

中检所标准品,对照品,标准气体
Keywords: 中检所标准品 对照品 标准气体