欢迎光临:莱耀标准品网!
 您的位置:对照品 > 对照品 > 工作对照品 >
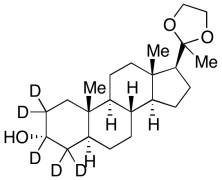
(3α,5α)-3-Hydroxypregnan-20-one-d5 Cyclic 1,2-Ethanediyl Acetal
产品基本信息
产品编号:H952222
产品名称:(3α,5α)-3-Hydroxypregnan-20-one-d5 Cyclic 1,2-Ethanediyl Acetal
产品CAS:
规格含量:25mg
产品价格:面议
联系我们:
产品详细介绍
标准品编号: H952222
名称: (3α,5α)-3-Hydroxypregnan-20-one-d5 Cyclic 1,2-Ethanediyl Acetal
参考CAS号: Unlabelled: 126451-96-5
分子式: C₂₃H₃₃D₅O₃
外观: 白色固体
分子量: 367.58
储存: 冰箱, under inert atmosphere
溶解度: Chloroform, DCM
种类: Standards; Steroids; Isotopic Labeled Analogues; Neurochemicals; Pharmaceutical/API Drug Impurities/Metabolites;
应用: (3α,5α)-3-Hydroxypregnan-20-one-d5 Cyclic 1,2-Ethanediyl Acetal is an intermediate in the synthesis of labelled (3α)-Allopregnanolone (A547102).
参考文献


2011-2018 信阳莱耀生物科技有限公司 @ 信阳埃尔文生物科技有限公司版权所有

中检所标准品,对照品,标准气体
Keywords: 中检所标准品 对照品 标准气体