欢迎光临:莱耀标准品网!
 您的位置:对照品 > 对照品 > 工作对照品 >
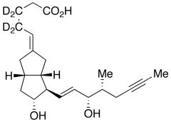
16-(R)-Iloprost-d4
产品基本信息
产品编号:I267312
产品名称:16-(R)-Iloprost-d4
产品CAS:
规格含量:5mg
产品价格:面议
联系我们:
产品详细介绍
标准品编号: I267312
名称: 16-(R)-Iloprost-d4
别名: [3aS-[2E,3aα,4α(1E,3R*,4S*),5β,6aα]]- 5-[Hexahydro-5-hydroxy-4-(3-hydroxy-4-methyl-1-octen-6-ynyl)-2(1H)-pentalenylidene]-Pentanoic Acid-d4;
参考CAS号: Unlabelled: 74843-13-3
分子式: C₂₂H₂₈D₄O₄
分子量: 364.51
种类: Standards; Isotopic Labeled Analogues; Enzyme Activators and Inhibitors; Pharmaceutical/API Drug Impurities/Metabolites;
应用: Labeled 16-(R)-Iloprost is the R-isomer of Iloprost (I267300), a synthetic analogue of Prostacyclin (PGI2) used to treat pulmonary arterial hypertension (PAH), scleroderma, Raynaud's phenomenon and ischemia.
参考文献


2011-2018 信阳莱耀生物科技有限公司 @ 信阳埃尔文生物科技有限公司版权所有

中检所标准品,对照品,标准气体
Keywords: 中检所标准品 对照品 标准气体