欢迎光临:莱耀标准品网!
 您的位置:对照品 > 对照品 > 工作对照品 >
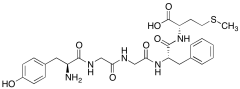
Met-enkephalin
产品基本信息
产品编号:M225485
产品名称:Met-enkephalin
产品CAS:58569-55-4
规格含量:50mg
产品价格:面议
联系我们:
产品详细介绍
标准品编号: M225485
名称: Met-enkephalin
别名: Human β-Endorphin(1-5); L-Methionine-enkephalin; Lupex; Met-enkephalin; Met5-enkephalin; Metenkefalin; Methionine Enkephalin; Methionyl-enkephalin; NSC 374896; Opioid Growth Factor; PN: US5961923 PAGE: 135 claimed protein; Peptid-M; 53: PN: US20090104234 SEQID: 53 unclaimed protein; 5: PN: US20080039404 SEQID: 5 unclaimed sequence; 6: PN: US20130072438 SEQID: 5 unclaimed sequence; 6: PN: WO0130371 TABLE: 1 unclaimed sequence; 707: PN: US20090175821 SEQID: 882 claimed protein; 7: PN: US20130303729 SEQID: 7 unclaimed protein; 7: PN: WO0130371 TABLE: 1 unclaimed sequence; 7: PN: WO2008106043 TABLE: 6 claimed protein; 9: PN: WO03061683 FIGURE: 1 unclaimed sequence; 9: PN: WO2004041151 SEQID: 9 unclaimed sequence; 5-L-Methionine-enkephalin; 5-Methionine Enkephalin; 105: PN: US20030119021 SEQID
CAS号: 58569-55-4
分子式: C₂₇H₃₅N₅O₇S
外观: 白色固体
熔点: >180°C (dec.)
分子量: 573.66
储存: -20°C Freezer, Under inert atmosphere
溶解度: DMSO (Slightly), Methanol (Slightly, Heated, Sonicated), Water (Slightly)
稳定性: Unstable in alkaline solution
种类: Standards; Pharmaceutical/API Drug Impurities/Metabolites;
应用: Met-enkephalin is an endogenous opioid peptide that increases expression levels of δ, μ and κ-opioid receptors, inhibits growth, apoptosis and proliferation in human melanoma A375 cells. Antitumor effect via regulating dendritic cells. Regulation of the immune system, therapy effects of antitumor, autoimmune diseases, AIDS, and other immune-related diseases.
参考文献


2011-2018 信阳莱耀生物科技有限公司 @ 信阳埃尔文生物科技有限公司版权所有

中检所标准品,对照品,标准气体
Keywords: 中检所标准品 对照品 标准气体