欢迎光临:莱耀标准品网!
 您的位置:对照品 > 对照品 > 工作对照品 >
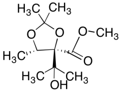
(4R-)-4-(1-Hydroxy-1-methylethyl)-2,2,5-trimethyl-1,3-dioxolane-4-carboxylic Acid Methyl E
产品基本信息
产品编号:H945110
产品名称:(4R-)-4-(1-Hydroxy-1-methylethyl)-2,2,5-trimethyl-1,3-dioxolane-4-carboxylic Acid Methyl E
产品CAS:87860-99-9
规格含量:2.5mg
产品价格:面议
联系我们:
产品详细介绍
标准品编号: H945110
名称: (4R-)-4-(1-Hydroxy-1-methylethyl)-2,2,5-trimethyl-1,3-dioxolane-4-carboxylic Acid Methyl Ester
CAS号: 87860-99-9
分子式: C₁₁H₂₀O₅
外观: Yellow Oil
分子量: 232.27
溶解度: Dichloromethane
种类: Standards; Miscellaneous;
应用: (4R-)-4-(1-Hydroxy-1-methylethyl)-2,2,5-trimethyl-1,3-dioxolane-4-carboxylic Acid Methyl Esteris an intermediate in the synthesis of (+)-Echimidine N-Oxide, which is a a hepatotoxic pyrrolizidine alkaloid. Different extracts and echimidine-N-oxide from Symphytum sylvaticum Boiss. Subsp. sepulcrale, has been shown to have Antifungal activity.
参考文献


2011-2018 信阳莱耀生物科技有限公司 @ 信阳埃尔文生物科技有限公司版权所有

中检所标准品,对照品,标准气体
Keywords: 中检所标准品 对照品 标准气体