欢迎光临:莱耀标准品网!
 您的位置:对照品 > 对照品 > 对照药材 >
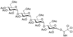
Dehydro Maltotetraose O-1-(2,2,2-Trichloroethanimidate) Tridecaacetate
产品基本信息
产品编号:D231770
产品名称:Dehydro Maltotetraose O-1-(2,2,2-Trichloroethanimidate) Tridecaacetate
产品CAS:
规格含量:100mg
产品价格:面议
联系我们:
产品详细介绍
标准品编号: D231770
名称: Dehydro Maltotetraose O-1-(2,2,2-Trichloroethanimidate) Tridecaacetate
分子式: C₅₂H₆₈Cl₃NO₃₄
外观: 淡黄色固体
分子量: 1357.44
种类: Building Blocks; Carbohydrates; Miscellaneous;
应用: Dehydro Maltotetraose O-1-(2,2,2-Trichloroethanimidate) Tridecaacetate is an intermediate used in the synthesis of Maltotetraose Deuterated (M161522), which is an未标记form of Maltotetraose (M161520). Maltotetraose is a maltooligosaccharide that is used for research and diagnostic purposes. They can also be used in nutrients and healthcare.
参考文献


2011-2018 信阳莱耀生物科技有限公司 @ 信阳埃尔文生物科技有限公司版权所有

中检所标准品,对照品,标准气体
Keywords: 中检所标准品 对照品 标准气体