欢迎光临:莱耀标准品网!
 您的位置:对照品 > 对照品 > 对照药材 >
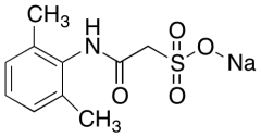
Dimethachor CGA 369873
产品基本信息
产品编号:D465480
产品名称:Dimethachor CGA 369873
产品CAS:
规格含量:100mg
产品价格:面议
联系我们:
产品详细介绍
标准品编号: D465480
名称: Dimethachor CGA 369873
别名: Sodium 2-((2,6-Dimethylphenyl)amino)-2-oxoethanesulfonate
参考CAS号: 1418095-08-5
分子式: C₁₀H₁₂NNaO₄S
分子量: 265.26
种类: Standards; Environmental Standards, Mutagens and Metabolites; Pesticides;
应用: Dimethachor CGA 369873 is a metabolite of Dimethachlor (D460273), which is a pesticide which has been detected in agricultural soil runoff.
参考文献


2011-2018 信阳莱耀生物科技有限公司 @ 信阳埃尔文生物科技有限公司版权所有

中检所标准品,对照品,标准气体
Keywords: 中检所标准品 对照品 标准气体