欢迎光临:莱耀标准品网!
 您的位置:对照品 > 对照品 > 对照药材 >
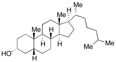
Epicoprostanol
产品基本信息
产品编号:E582800
产品名称:Epicoprostanol
产品CAS:516-92-7
规格含量:250mg
产品价格:面议
联系我们:
产品详细介绍
标准品编号: E582800
名称: Epicoprostanol
别名: (3α,5β)-Cholestan-3-ol; 5β-Epicholestanol; Epicoprosterol; Epikoprosterin; NSC 18182; epi-Coprostanol; epi-Coprosterol; α-Coprostanol
CAS号: 516-92-7
分子式: C₂₇H₄₈O
分子量: 388.67
种类: Standards; Steroids;
应用: Epicoprostanol is used as a biomarker for the presence of human faecal matter in the environment.
参考文献


2011-2018 信阳莱耀生物科技有限公司 @ 信阳埃尔文生物科技有限公司版权所有

中检所标准品,对照品,标准气体
Keywords: 中检所标准品 对照品 标准气体