欢迎光临:莱耀标准品网!
 您的位置:对照品 > 对照品 > 对照药材 >
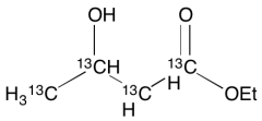
Ethyl 3-Hydroxybutyrate-13C4
产品基本信息
产品编号:E918957
产品名称:Ethyl 3-Hydroxybutyrate-13C4
产品CAS:
规格含量:2.5mg
产品价格:面议
联系我们:
产品详细介绍
标准品编号: E918957
名称: Ethyl 3-Hydroxybutyrate-13C4
别名: 3-Hydroxy-butanoic Acid Ethyl Ester-13C4; 3-hydroxy-butyric acid ethyl ester-13C4; β-Hydroxy-butyric Acid Ethyl Ester-13C4; (±)-3-Hydroxybutanoic acid ethyl ester-13C4; (±)-Ethyl 3-hydroxybutyrate-13C4; 3-Hydroxybutanoic acid ethyl ester-13C4; 3-Hydroxybutyric acid ethyl ester-13C4; DL-3-Hydroxy-n-butyrate ethyl ester-13C4; Ethyl (±)-3-hydroxybutanoate-13C4; Ethyl 3-hydroxybutanoate-13C4; Ethyl DL-3-hydroxybutyrate-13C4; Ethyl β-hydroxybutyrate-13C4; NSC 42916-13C4; NSC 8115-13C4
参考CAS: 未标记:CAS-5405-41-4
分子式: C₂¹³C₄H₁₂O₃
分子量: 136.13
种类: Building Blocks; Isotopic Labeled Analogues;
应用: Isotop labelled Ethyl 3-Hydroxybutyrate is a useful synthetic intermediate. It is a reagent used to synthesize α-azido carboxylic acids. It is also used in Palladium mediated spiroketal synthesis.
参考文献


2011-2018 信阳莱耀生物科技有限公司 @ 信阳埃尔文生物科技有限公司版权所有

中检所标准品,对照品,标准气体
Keywords: 中检所标准品 对照品 标准气体