您的位置:对照品 > 对照品 > 对照药材 >
产品基本信息
产品编号:F500394
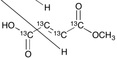
产品名称:Fumaric Acid Monomethyl Ester-13C4
产品CAS:
规格含量:2.5mg
产品价格:面议
联系我们:
产品详细介绍
标准品编号:
F500394
名称:
Fumaric Acid Monomethyl Ester-13C4
别名:
(2E)-2-Butenedioic Acid 1-Methyl Ester-d5; (E)-2-Butenedioic Acid Monomethyl Ester-13C4; Fumaric Acid Methyl Ester-13C4; Methyl Hydrogen Fumarate-13C4; Monomethyl Fumarate-13C4;
参考CAS:
未标记:2756-87-8
分子式:
C¹³C₄H₆O₄
分子量:
134.07
种类:
Building Blocks; Isotopic Labeled Analogues;
应用:
Fumaric Acid Monomethyl Ester-13C4, is the labeled analogue of Fumaric Acid Monomethyl Ester (F500390). monomethyl ester is one of the most bioactive anti-psoriatic fumaric acid ester metabolite.
参考文献
de Jong, R. et al.: Eur. J. Immunol., 26, 2067 (1996); Litjens, N.H.R. et al.: Br. J. Dermatol., 154, 211 (2006); Schimrigk, S., et al.: Eur. J. Neurol., 13, 604 (2006); Tang, H. et al.: Biochem. Biophys. Res. Comm., 375, 562 (2008);