欢迎光临:莱耀标准品网!
 您的位置:对照品 > 对照品 > 对照药材 >
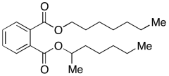
n-Heptyl 2-Heptyl Phthalate
产品基本信息
产品编号:H285300
产品名称:n-Heptyl 2-Heptyl Phthalate
产品CAS:
规格含量:500mg
产品价格:面议
联系我们:
产品详细介绍
标准品编号: H285300
名称: n-Heptyl 2-Heptyl Phthalate
别名: 1,2-Benzenedicarboxylic Acid 1-Heptyl 2-(1-Methylhexyl) Ester;
分子式: C₂₂H₃₄O₄
分子量: 362.5
种类: Building Blocks;
应用: n-Heptyl 2-Heptyl Phthalate, is a phthalate ester used as plasticizers and additives.
参考文献


2011-2018 信阳莱耀生物科技有限公司 @ 信阳埃尔文生物科技有限公司版权所有

中检所标准品,对照品,标准气体
Keywords: 中检所标准品 对照品 标准气体