欢迎光临:莱耀标准品网!
 您的位置:对照品 > 对照品 > 对照药材 >
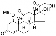
(α/β)-1-Methoxy Cortisone
产品基本信息
产品编号:M262200
产品名称:(α/β)-1-Methoxy Cortisone
产品CAS:
规格含量:10mg
产品价格:面议
联系我们:
产品详细介绍
标准品编号: M262200
名称: (α/β)-1-Methoxy Cortisone
别名: 1-Methoxy-17,21-dihydroxy-pregn-4-ene-3,11,20-trione;
分子式: C₂₂H₃₀O₆
分子量: 390.47
种类: Standards; Pharmaceutical/API Drug Impurities/Metabolites; Steroids;
应用: Cortisone derivative. Glucocorticoid, anti-inflammatory agent.
参考文献


2011-2018 信阳莱耀生物科技有限公司 @ 信阳埃尔文生物科技有限公司版权所有

中检所标准品,对照品,标准气体
Keywords: 中检所标准品 对照品 标准气体