欢迎光临:莱耀标准品网!
 您的位置:对照品 > 对照品 > 中检所对照品 >
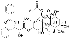
4-Desacetyl-2-debenzoyl-[2,4]-oxol Paclitaxel
产品基本信息
产品编号:D289580
产品名称:4-Desacetyl-2-debenzoyl-[2,4]-oxol Paclitaxel
产品CAS:159500-49-9
规格含量:10mg
产品价格:面议
联系我们:
产品详细介绍
标准品编号: D289580
名称: 4-Desacetyl-2-debenzoyl-[2,4]-oxol Paclitaxel
别名: [2aS-[2aα,3β,5β,5aβ,7β,10α(αS*,βR*),12α,12aβ,12bα]]-β-(Benzoylamino)-α-hydroxy-benzenepropanoic Acid 2a,7-Bis(acetyloxy)-2a,3,4,5,5a,6,7,10,11,12,12a,12b-dodecahydro-3,5,12-trihydroxy-5a,9,13,13-tetramethyl-6-oxo-8,12-methano-2H-cyclodec[cd]isobenzofuran-10-yl Ester
CAS号: 159500-49-9
分子式: C₄₀H₄₇NO₁₃
外观: Off-White Foam
分子量: 749.8
溶解性: Chloroform. Ethyl Acetate, Methanol
种类: Building Blocks; Chiral Molecules; Pharmaceutical/API Drug Impurities/Metabolites;
应用: 4-Desacetyl-2-debenzoyl-[2,4]-oxol Paclitaxel is an intermediate in the synthesis of Paclitaxel (P132500) related compound.
参考文献


2011-2018 信阳莱耀生物科技有限公司 @ 信阳埃尔文生物科技有限公司版权所有

中检所标准品,对照品,标准气体
Keywords: 中检所标准品 对照品 标准气体