欢迎光临:莱耀标准品网!
 您的位置:对照品 > 对照品 > 中检所对照品 >
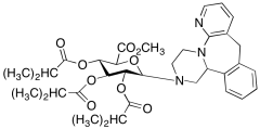
Desmethyl Mirtazapine N-(Methyl 2,3,4-Tri-O-isobutyryl-D-glucopyranuronate)
产品基本信息
产品编号:D291950
产品名称:Desmethyl Mirtazapine N-(Methyl 2,3,4-Tri-O-isobutyryl-D-glucopyranuronate)
产品CAS:
规格含量:5mg
产品价格:面议
联系我们:
产品详细介绍
标准品编号: D291950
名称: Desmethyl Mirtazapine N-(Methyl 2,3,4-Tri-O-isobutyryl-D-glucopyranuronate)
分子式: C₃₅H₄₅N₃O₉
分子量: 651.75
储存: -20°C Freezer
溶解性: Dichloromethane, Methanol
种类: Building Blocks; Miscellaneous;
应用: Desmethyl Mirtazapine N-(Methyl 2,3,4-Tri-O-isobutyryl-D-glucopyranuronate) is an intermediate in the synthesis of Mirtazapine N-Glucuronide (M365015).
参考文献


2011-2018 信阳莱耀生物科技有限公司 @ 信阳埃尔文生物科技有限公司版权所有

中检所标准品,对照品,标准气体
Keywords: 中检所标准品 对照品 标准气体