您的位置:对照品 > 对照品 > 中检所对照品 > |
|
|
|
| 产品基本信息 |
|
| 产品编号:D431802 |
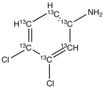
| 产品名称:3,4-Dichloroaniline-13C6 |
| 产品CAS:89059-40-5 |
| 规格含量:10mg |
| 产品价格:面议 |
| 联系我们: |
|
|
|
|
|
| 产品详细介绍 |
| 标准品编号: |
D431802 |
| 名称: |
3,4-Dichloroaniline-13C6 |
| 别名: |
3,4-Dichlorobenzenamine-1,2,3,4,5,6-13C6; 3,4-Dichlorophenylamine-13C6; 4,5-Dichloroaniline-13C6; 4-Amino-1,2-dichlorobenzene-13C6; DCVIP(LA)13C6; LY 004892-13C6; NSC 247-13C6; m,p-Dichloroaniline-13C6; |
| CAS号: |
89059-40-5 |
| 参考CAS号: |
95-76-1-未标记 |
| 分子式: |
¹³C₆H₅Cl₂N |
| 分子量: |
167.97 |
| 种类: |
Building Blocks; Miscellaneous; |
| 应用: |
An intermediate in the synthesis of (13C6)N-(3,4-dichlorophenyl)-2,2-dimethylpropanamide. |
| 危险品: |
Not a dangerous good if item is equal to or less than 1g/ml and there is less than 100g/ml in the package |
| 参考文献 |
|
|
|
|
|
|
|
|