欢迎光临:莱耀标准品网!
 您的位置:对照品 > 对照品 > 中检所对照品 >
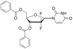
1-(2’,2’-Difluoro-2’-deoxy-L-erythro-pentofuranos-1-yl)uraci
产品基本信息
产品编号:D445785
产品名称:1-(2’,2’-Difluoro-2’-deoxy-L-erythro-pentofuranos-1-yl)uraci
产品CAS:
规格含量:500mg
产品价格:面议
联系我们:
产品详细介绍
标准品编号: D445785
名称: 1-(2’,2’-Difluoro-2’-deoxy-L-erythro-pentofuranos-1-yl)uracil 3’,5’-Di-O-benzoate
别名: 1-(3,5-Di-O-benzoyl-2-deoxy-2,2-difluoro-L-erythro-pentofuranosyl)-2,4(1H,3H)-pyrimidinedione
分子式: C₂₃H₁₈F₂N₂O₇
外观: 白色固体
分子量: 472.4
溶解性: Dichloromethane, Methanol
种类: Building Blocks; Carbohydrates and Oligosaccharides;
应用: Intermediate in the preparation of Gemcitabine metabolites and degradation products.
参考文献


2011-2018 信阳莱耀生物科技有限公司 @ 信阳埃尔文生物科技有限公司版权所有

中检所标准品,对照品,标准气体
Keywords: 中检所标准品 对照品 标准气体