欢迎光临:莱耀标准品网!
 您的位置:对照品 > 对照品 > 中检所对照品 >
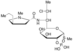
7-Epiclindamycin 2-Phosphate (>90%)
产品基本信息
产品编号:E582505
产品名称:7-Epiclindamycin 2-Phosphate (>90%)
产品CAS:620181-05-7
规格含量:2mg
产品价格:面议
联系我们:
产品详细介绍
标准品编号: E582505
名称: 7-Epiclindamycin 2-Phosphate (>90%)
别名: Methyl 7-Chloro-6,7,8-trideoxy-6-[[[(2S,4R)-1-methyl-4-propyl-2-pyrrolidinyl]carbonyl]amino]-1-thio-D-erythro-α-D-galacto-octopyranoside 2-(Dihydrogen Phosphate); Clindamycin Phosphate EP Impurity L
杂质: Clindamycin Phosphate EP Impurity L
CAS号: 620181-05-7
分子式: C₁₈H₃₄ClN₂O₈PS
外观: 白色至白色固体
熔点: >180°C (dec.)
分子量: 504.96
储存: -20°C Freezer, Under inert atmosphere
溶解度: DMSO (Slightly), Methanol (Very Slightly, Heated), Water (Slightly)
种类: Standards; Pharmaceutical/API Drug Impurities/Metabolites; Carbohydrates and Oligosaccharides; Semi-Synthetic;
应用: 7-Epiclindamycin 2-Phosphate (Clindamycin Phosphate EP Impurity L) is an impurity of Clindamycin (C580000), a semi-synthetic antibiotic prepared from Lincomycin. Antibacterial.
参考文献


2011-2018 信阳莱耀生物科技有限公司 @ 信阳埃尔文生物科技有限公司版权所有

中检所标准品,对照品,标准气体
Keywords: 中检所标准品 对照品 标准气体