欢迎光临:莱耀标准品网!
 您的位置:对照品 > 对照品 > 中检所对照品 >
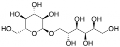
Isomaltitol (Mixture of 6-O-alpha-D-Glucopyranosyl-D-glucitol and 1-O-alpha-D-Glucopyranos
产品基本信息
产品编号:I821293
产品名称:Isomaltitol (Mixture of 6-O-alpha-D-Glucopyranosyl-D-glucitol and 1-O-alpha-D-Glucopyranos
产品CAS:534-73-6
规格含量:25mg
产品价格:面议
联系我们:
产品详细介绍
标准品编号: I821293
名称: Isomaltitol (Mixture of 6-O-alpha-D-Glucopyranosyl-D-glucitol and 1-O-alpha-D-Glucopyranosyl-D-mannitol)
别名: 6-O-α-D-Glucopyranosyl-D-glucitol; Palatinitol;
CAS号: 534-73-6
分子式: C₁₂H₂₄O₁₁
外观: 白色至白色固体
分子量: 344.31
储存: Hygroscopic, 冰箱, under inert atmosphere
溶解度: Water (Slightly)
稳定性: Hygroscopic
种类: Standards; Carbohydrates and Oligosaccharides;
应用: Isomaltitol is a carbohydrate.
参考文献


2011-2018 信阳莱耀生物科技有限公司 @ 信阳埃尔文生物科技有限公司版权所有

中检所标准品,对照品,标准气体
Keywords: 中检所标准品 对照品 标准气体