欢迎光临:莱耀标准品网!
 您的位置:对照品 > 对照品 > 中检所对照品 >
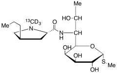
Lincomycin-13C,D3
产品基本信息
产品编号:L466232
产品名称:Lincomycin-13C,D3
产品CAS:
规格含量:5mg
产品价格:面议
联系我们:
产品详细介绍
标准品编号: L466232
名称: Lincomycin-13C,D3
别名: (2S-trans)-Methyl 6,8-Dideoxy-6-[[(1-methyl-13C,D3-4-propyl-2-pyrrolidinyl)carbonyl ]amino]-1-thio-D-erythro-α-D-galacto-octopyranoside; Lincocin-13C,D3; Lincogap-13C,D3; NSC 70731-13C,D3; U 10149a-13C,D3
参考CAS号: 类似: 154-21-2
分子式: C₁₇¹³CH₃₁D₃N₂O₆S
分子量: 410.55
种类: Standards; Isotopic Labeled Analogues; Antibotics; Carbohydrates and Oligosaccharides;
应用: Lincomycin-13C,D3 is the labeled analog of Lincomycin (L466230), a lincosamide antibiotic that forms cross-links within the peptidyl transferase loop region of the 23S rRNA. Inhibits bacterial protein synthesis. Antibacterial.
参考文献


2011-2018 信阳莱耀生物科技有限公司 @ 信阳埃尔文生物科技有限公司版权所有

中检所标准品,对照品,标准气体
Keywords: 中检所标准品 对照品 标准气体