欢迎光临:莱耀标准品网!
 您的位置:对照品 > 对照品 > 中检所对照品 >
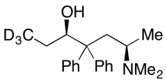
rac α-Methadol-d3
产品基本信息
产品编号:M225922
产品名称:rac α-Methadol-d3
产品CAS:1217842-77-7
规格含量:10mg
产品价格:面议
联系我们:
产品详细介绍
标准品编号: M225922
名称: rac α-Methadol-d3
别名: (R*,R*)-(±)-β-[2-(dimethylamino)propyl]-α-ethyl-β-phenylbenzeneethanol-d3; (±)-α-Methadol-d3
CAS号: 1217842-77-7
参考CAS号: Unlabelled: 63869-11-4
分子式: C₂₁H₂₆D₃NO
分子量: 314.48
种类: Standards; Isotopic Labeled Analogues; Pharmaceutical/API Drug Impurities/Metabolites;
应用: rac α-Methadol-d3 is the isotope labelled analog of rac α-Methadol (M225920); a reduction product of Methadone (M225865, HCl) and an analgesic that effectively binds to opiate receptors.
参考文献


2011-2018 信阳莱耀生物科技有限公司 @ 信阳埃尔文生物科技有限公司版权所有

中检所标准品,对照品,标准气体
Keywords: 中检所标准品 对照品 标准气体