欢迎光临:莱耀标准品网!
 您的位置:对照品 > 对照品 > 中检所对照品 >
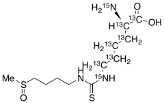
N6-({[3-(Methylsulfinyl)propyl]amino}carbonothioyl)lysine-13C6,15N2
产品基本信息
产品编号:M332339
产品名称:N6-({[3-(Methylsulfinyl)propyl]amino}carbonothioyl)lysine-13C6,15N2
产品CAS:1609243-64-2
规格含量:1mg
产品价格:面议
联系我们:
产品详细介绍
标准品编号: M332339
名称: N6-({[3-(Methylsulfinyl)propyl]amino}carbonothioyl)lysine-13C6,15N2
别名: SFN-[13C6,15N2]Lys
CAS号: 1609243-64-2
参考CAS号: Unlabelled: 1211456-38-0
分子式: C₆¹³C₆H₂₅N¹⁵N₂O₃S₂
外观: 白色至白色固体
分子量: 331.42
储存: Hygroscopic, -20°C Freezer, Under inert atmosphere
溶解度: DMSO (Slightly), Methanol (Slightly, Heated)
种类: Standards; Amino Acids; Isotopic Labeled Analogues;
应用: N6-({[3-(Methylsulfinyl)propyl]amino}carbonothioyl)lysine-13C6,15N2 is used as a biomarker for monitoring the levels of isothiocyanates in humans.
参考文献


2011-2018 信阳莱耀生物科技有限公司 @ 信阳埃尔文生物科技有限公司版权所有

中检所标准品,对照品,标准气体
Keywords: 中检所标准品 对照品 标准气体