您的位置:对照品 > 对照品 > 中检所对照品 > |
|
|
|
| 产品基本信息 |
|
| 产品编号:M750250 |
| 产品名称:MRS 2279 |
| 产品CAS: |
| 规格含量: |
| 产品价格:面议 |
| 联系我们: |
|
|
|
|
|
| 产品详细介绍 |
| 标准品编号: |
M750250 |
| 名称: |
MRS 2279 |
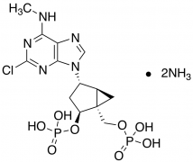
| 别名: |
(1R*,2S*)-4-[2-Chloro-6-(methylamino)-9H-purin-9-yl]-2-(phosphonooxy)bicyclo[3.1.0]hexane-1-methanol dihydrogen Phosphate Ester Diammonium Salt |
| 参考CAS号: |
Free Acid: 367909-40-8 |
| 分子式: |
C₁₃H₁₈ClN₅O₈P₂ • 2(NH ₃) |
| 分子量: |
469.7121703 |
| 种类: |
Standards; Pharmaceutical/API Drug Impurities/Metabolites; |
| 应用: |
MRS 2279 is a selective P2Y1 antagonist with high affinity and results in modulation of aggregation of blood platelets induced by ADP. |
| 参考文献 |
|
|
|
|
|
|