欢迎光临:莱耀标准品网!
 您的位置:对照品 > 对照品 > 中检所对照品 >
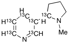
rac-Nicotine-1,2’,3’,4’,5’,6’-13C6
产品基本信息
产品编号:N412426
产品名称:rac-Nicotine-1,2’,3’,4’,5’,6’-13C6
产品CAS:1189715-49-8
规格含量:1mg
产品价格:面议
联系我们:
产品详细介绍
标准品编号: N412426
名称: rac-Nicotine-1,2’,3’,4’,5’,6’-13C6
别名: 3-(1-Methyl-2-pyrrolidinyl)pyridine-13C6; (±)-Nicotine-13C6; (±)-3-(1-Methyl-2-pyrrolidinyl)pyridine-13C6; (R,S)-Nicotine-13C6; (±)-Nicotine-13C6 ; 1-Methyl-2-(3-pyridyl)pyrrolidine-13C6; DL-Nicotine-13C6
CAS号: 1189715-49-8
参考CAS号: Unlabelled: 22083-74-5
分子式: C₄¹³C₆H₁₄N₂
外观: Pale Yellow to Yellow OIl
分子量: 168.19
储存: 冰箱
溶解度: Chloroform, Methanol
种类: Standards; Isotopic Labeled Analogues; Nicotine Derivatives and Metabolites;
应用: rac-Nicotine-1,2’,3’,4’,5’,6’-13C6 is the isotope labelled analog of rac-Nicotine (N412420). Nicotine is an alkaloid isolated from plants. Nicotine is an active stimulant, having both addictive and carcinogenic properties. Nicotine can be absorbed through the alimentary canal, respiratory tract and intact skin. Nicotine is used in the treatment of smoking withdrawal syndrome. Nicotine has been used as an anthelmintic.
危险品: Not a dangerous good if item is equal to or less than 1g/ml and there is less than 100g/ml in the package
参考文献


2011-2018 信阳莱耀生物科技有限公司 @ 信阳埃尔文生物科技有限公司版权所有

中检所标准品,对照品,标准气体
Keywords: 中检所标准品 对照品 标准气体