您的位置:对照品 > 对照品 > 中药对照品 > |
|
|
|
| 产品基本信息 |
|
| 产品编号:C981312 |
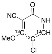
| 产品名称:3-Cyano Gimeracil-13C3 Methyl Ether |
| 产品CAS:1391054-70-8 |
| 规格含量:5mg |
| 产品价格:面议 |
| 联系我们: |
|
|
|
|
|
| 产品详细介绍 |
| 标准品编号: |
C981312 |
| 名称: |
3-Cyano Gimeracil-13C3 Methyl Ether |
| 别名: |
5-Chloro-1,2-dihydro-4-methoxy-2-oxo-3-pyridinecarbonitrile-13C3 |
| CAS号: |
1391054-70-8 |
| 参考CAS: |
147619-40-7 - unlabelled |
| 分子式: |
C₄¹³C₃H₅ClN₂O₂ |
| 外观: |
淡黄色固体 |
| 分子量: |
187.56 |
| 储存: |
冰箱保存 |
| 溶解度: |
Dimethyl Sulfoxide, Methanol |
| 类别: |
Building Blocks; Isotopic Labeled Analogues; Pharmaceutical/API Drug Impurities/Metabolites; |
| 应用: |
Intermediate in the synthesis of labelled antitumor agent Gimeracil (G378002) |
| 参考文献 |
|
|
|
|
|
|