您的位置:对照品 > 对照品 > 中药对照品 > |
|
|
|
| 产品基本信息 |
|
| 产品编号:C998105 |
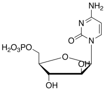
| 产品名称:Cytarabine 5’-Monophosphate |
| 产品CAS:08/11/7075 |
| 规格含量:100mg |
| 产品价格:面议 |
| 联系我们: |
|
|
|
|
|
| 产品详细介绍 |
| 标准品编号: |
C998105 |
| 名称: |
Cytarabine 5’-Monophosphate |
| 别名: |
4-Amino-1-(5-O-phosphono-β-D-arabinofuranosyl)-2(1H)-pyrimidinone; 1-β-D-Arabinofuranosylcytosine 5'-Monophosphate; Cytosine Arabinoside Monophosphate; Cytosine-β-D-arabinofuranoside-5'-monophosphoric Acid; NSC 99445; |
| CAS号: |
08/11/7075 |
| 分子式: |
C₉H₁₄N₃O₈P |
| 外观: |
白色固体 |
| 熔点: |
>160°C (dec.) |
| 分子量: |
323.2 |
| 储存: |
Hygroscopic, -20°C Freezer, Under Inert Atmosphere |
| 溶解性: |
Aqueous Base (Slightly) |
| 稳定性: |
Hygroscopic, Unstable in Solution |
| 种类: |
Standards; Carbohydrates and Oligosaccharides; |
| 应用: |
A derivative of Cytarabine, a potent cytotoxic-antiviral nucleoside. |
| 参考文献 |
|
|
|
|
|
|
|
|