欢迎光临:莱耀标准品网!
 您的位置:对照品 > 对照品 > 中药对照品 >
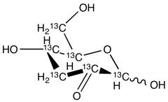
3-Deoxyglucosone-13C6
产品基本信息
产品编号:D239153
产品名称:3-Deoxyglucosone-13C6
产品CAS:
规格含量:5mg
产品价格:面议
联系我们:
产品详细介绍
标准品编号: D239153
名称: 3-Deoxyglucosone-13C6
别名: 3-Deoxy-D-erythro-hexulose-13C6; 2-Keto-3-deoxyglucose-13C6; D-3-Deoxyglucosone-13C6; 3-Deoxy-D-erythro-hexos-2-ulose-13C6; 3DG-13C6; 3-Deoxy-D-glucosone-13C6;
分子式: ¹³C₆H₁₀O₅
分子量: 168.1
种类: Building Blocks; Isotopic Labeled Analogues;
应用: 3-Deoxyglucosone-13C6, is the labeled anologue of 3-Deoxyglucosone (D239150), an intermediate in the Maillard reaction of proteins with glucose, which is metabolised to 3-Deoxyfructose. An intermediate in the formation of pyrraline, which might contribute to a pathological effect, such as carcinogenesis.
参考文献


2011-2018 信阳莱耀生物科技有限公司 @ 信阳埃尔文生物科技有限公司版权所有

中检所标准品,对照品,标准气体
Keywords: 中检所标准品 对照品 标准气体