您的位置:对照品 > 对照品 > 中药对照品 > |
|
|
|
| 产品基本信息 |
|
| 产品编号:D473132 |
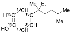
| 产品名称:4-(3’,6’-Dimethyl-3’-heptyl)phenol-13C6 |
| 产品CAS:1173020-38-6 |
| 规格含量:1mg |
| 产品价格:面议 |
| 联系我们: |
|
|
|
|
|
| 产品详细介绍 |
| 标准品编号: |
D473132 |
| 名称: |
4-(3’,6’-Dimethyl-3’-heptyl)phenol-13C6 |
| 别名: |
4-(1-Ethyl-1,4-dimethylpentyl)phenol-13C6; 4-Nonylphenol 112-13C6; p-363NP-13C6; |
| CAS号: |
1173020-38-6 |
| 参考CAS号: |
类似: 142731-63-3 |
| 分子式: |
C₉¹³C₆H₂₄O |
| 外观: |
Colourless to Pale Yellow Oil |
| 熔点: |
N/A |
| 分子量: |
226.31 |
| 储存: |
-20°C Freezer |
| 溶解性: |
Chloroform (Sparingly), Methanol (Slightly) |
| 种类: |
Building Blocks; Isotopic Labeled Analogues; |
| 应用: |
A labelled metabolite of 4-t-nonylphenol |
| 危险品: |
Not a dangerous good if item is equal to or less than 1g/ml and there is less than 100g/ml in the package |
| 参考文献 |
|
|
|
|
|
|
|
|