欢迎光临:莱耀标准品网!
 您的位置:对照品 > 对照品 > 中药对照品 >
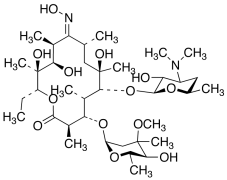
(9Z)-Erythromycin A Oxime
产品基本信息
产品编号:E650030
产品名称:(9Z)-Erythromycin A Oxime
产品CAS:134931-01-4
规格含量:100mg
产品价格:面议
联系我们:
产品详细介绍
标准品编号: E650030
名称: (9Z)-Erythromycin A Oxime
别名: (9Z)-Erythromycin 9-Oxime
CAS号: 134931-01-4
分子式: C₃₇H₆₈N₂O₁₃
外观: Light Yellow Powder
分子量: 748.94
溶解度: Dichloromethane, Ethyl Acetate
种类: Standards; Chiral Molecules; Pharmaceutical/API Drug Impurities/Metabolites;
应用: (9Z)-Erythromycin A Oxime is a metabolite of Roxithromycin (R700850) in humans.
参考文献


2011-2018 信阳莱耀生物科技有限公司 @ 信阳埃尔文生物科技有限公司版权所有

中检所标准品,对照品,标准气体
Keywords: 中检所标准品 对照品 标准气体