您的位置:对照品 > 对照品 > 中药对照品 >
产品基本信息
产品编号:E915892
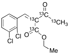
产品名称:(Z)-Ethyl 2-(2,3-Dichlorobenzylidene)-3-oxobutanoate-13C4
产品CAS:
规格含量:50mg
产品价格:面议
联系我们:
产品详细介绍
标准品编号:
E915892
名称:
(Z)-Ethyl 2-(2,3-Dichlorobenzylidene)-3-oxobutanoate-13C4
别名:
(2Z)-2-[(2,3-Dichlorophenyl)methylene]-3-oxobutanoic-13C4 Acid Ethyl Ester; (Z)-2-[(2,3-Dichlorophenyl)methylene]-3-oxobutanoic-13C4 Acid Ethyl Ester
参考CAS:
未标记:68064-63-1
分子式:
C₉¹³C₄H₁₂Cl₂O₃
分子量:
291.11
种类:
Research Tools;
应用:
(Z)-Ethyl 2-(2,3-Dichlorobenzylidene)-3-oxobutanoate-13C4 is an intermediate in the synthesis of Felodipine-13C4, d3 (F232376), the labeled analogue of Felodipine (F232375), a dihydropyridine calcium channel blocker.
参考文献
Berntsson, P.B., et al.: Acta Pharm. Suec., 18, 221 (1981); Kratochwil, N., et al.: Biochem. Pharmacol., 64, 1355 (2002); O'Brien, S., et al.: J. Med. Chem., 48, 1287 (2005); Castilho, M., et al.: Bioorg. Med. Chem., 14, 516 (2006)