欢迎光临:莱耀标准品网!
 您的位置:对照品 > 对照品 > 中药对照品 >
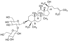
20(R)-Ginsenoside Rg3-d6
产品基本信息
产品编号:G410288
产品名称:20(R)-Ginsenoside Rg3-d6
产品CAS:
规格含量:2.5mg
产品价格:面议
联系我们:
产品详细介绍
标准品编号: G410288
名称: 20(R)-Ginsenoside Rg3-d6
别名: (3β,12β,20R)-12,20-Dihydroxydammar-24-en-3-yl 2-O-β-D-glucopyranosyl-β-D-glucopyranoside-d6; (3β,12β,20R)-12,20-Dihydroxydammar-24-en-3-yl O-β-D-glucopyranosyl-(1→2)-β-D-glucopyranoside-d6; 20(R)-Propanaxadiol-d6; 20R-Ginsenoside Rg3-d6; R-Ginsenoside Rg3-d6
参考CAS号: Unlabelled: 38243-03-7
分子式: C₄₂H₆₆D₆O₁₃
分子量: 791.05
种类: Standards; Isotopic Labeled Analogues;
应用: 20(R)-Ginsenoside Rg3-d6 is the labelled version of 20(R)-Ginsenoside Rg3, which causes an inhibition of phosphatidylinositol 3-kinase/Akt activation that, in turn, results in modulations in Bcl-2 family proteins in such a way that the apoptosis of U87 cells are regulated, relating to in vivo inhibition of tumor angiogenesis of lung cancer.
参考文献


2011-2018 信阳莱耀生物科技有限公司 @ 信阳埃尔文生物科技有限公司版权所有

中检所标准品,对照品,标准气体
Keywords: 中检所标准品 对照品 标准气体